Просмотр вопросов и пояснений
Всего: 426
Вопрос № 174
Теория радиосистем (передатчики, приемники, антенны и распространение радиоволн)
Категории: 1, 2, 3, 4

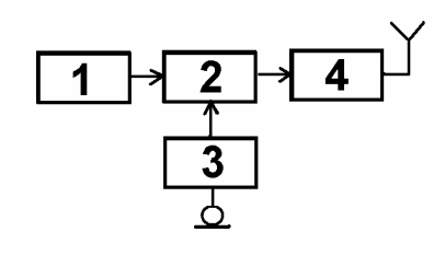
На функциональной схеме изображён FM-передатчик. Чем является блок, обозначенный цифрой 3?
Иллюстрация
  • a) Микрофонным усилителем.
  • b) Задающим генератором.
  • c) Модулятором.
  • d) Усилителем мощности.
Правильный ответ: a)
Пояснение

Если пояснение длинное — прокручивайте, форматирование Markdown сохранено.

Навигация

← 173 175 →

JSON API